シアナミドの反応を追うの記事で、石灰窒素ことカルシウムシアナミドを水に溶かした時の反応について触れた。

シアナミド(左)は右のカルボジイミドと平衡状態にあり、溶液中ではどちらかの形を取る。
ただ、どうやら右側のカルボジイミドの方は不安定であるそうで、極少量であると捉えておいた方が良さそうだ。
この2つの化合物だけれども、シアナミドはアミド型であるそうで、カルボジイミドはイミド型であるそうだ。
アミド型とイミド型とは一体何なのか?を今回触れておくことにする。
アミドについてWikipediaに記載されている内容を抜粋すると、

/**********************************/
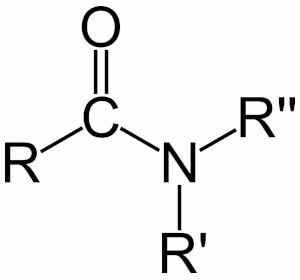
酸アミドとは、化合物、特に有機化合物の分類のひとつで、オキソ酸とアンモニアあるいは 1級、2級アミンとが脱水縮合した構造を持つものを指す
/**********************************/
上の説明だとよくわからないが、-CO-N-の結合(アミド結合)を持つ化合物の総称であるらしい。
ただ、シアナミドには酸素(O)がないのでアミドではないように見えるが、一応アミドとして扱われるそうだ。
一方、イミドだけれども、

/**********************************/
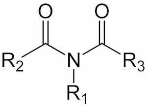
イミドは、1級アミンまたはアンモニアにカルボニル基が2つ結合した構造である
/**********************************/
こちらも要約すると、-CO-NH-CO-の結合(イミド結合)を持つ化合物の総称であるらしい。
シアナミドと同様、カルボジイミドにも酸素がないので厳密にはイミドではないが、一応イミド型として扱うことにする。
どちらの説明にもアミンという用語が出ているので、そちらも触れておくと、

/**********************************/
アミンとは、アンモニアの水素原子を炭化水素基または芳香族原子団で置換した化合物の総称である
/**********************************/
アミンは上の図のようにNに何らかに置換されるRの構造を持つ化合物で、Rには水素(H)かアルキル基が入る。
ちなみに三箇所のRがすべてHであると、NH3でアンモニアになる。
今のところ、うっすらと見えてきたのが、石灰窒素ことカルシウムシアナミドを水に溶かすと、シアナミドと消石灰(水酸化カルシウム)に分離する。
シアナミドはシアナミドとカルボジイミドのどちらかの形になり、シアナミドは尿素を経て窒素肥料のような働きになり、カルボジイミドは農薬的な作用がありそうだ。




