
アクリルアミドとは何か?の記事で、アクリルアミドについて見た。
アクリルアミドは発がん性の話題でよく見聞きするが、もう一つ見聞きする話題があって、土の団粒構造形成の促進剤もよく見かける。
団粒構造形成を促進するという事は、反応性が高いという事になるわけで、それ故生物に対しては発がん性という事になるのだろう。
今回はアクリルアミドの反応性について見ていくことにする。
Wikipediaのアクリルアミドのページを読んでみると、
/******************************/
アクリルアミドは、溶融すると激しく重合反応を起こし、高分子化合物であるポリアクリルアミド (polyacrylamide) となる
/******************************/
※アクリルアミド#アクリルアミドポリマー(ポリアクリルアミド) - Wikipediaより引用
という記載があった。
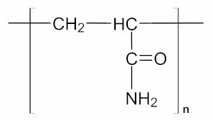
ポリアクリルアミドというのが、

アクリルアミドのビニル基(CH2=CH-)同士が結合(重合)して、大きな化合物を形成している。
このビニル基の反応性の高さが、人の体内に入った時に何らかの悪影響を与える可能性があるのだろう。
色々と読んでいたら、富士川水系の汚泥投棄 - Wikipediaの話題でもアクリルアミドが関与していた。




