
テルペン系香気物質について4までの記事で柑橘、ニンジンやバラ等の香りで重要になっていたテルペン系香気物質について見てきた。
テルペン系香気物質の合成では常に

ゲラニル二リン酸(以後、GPPと略す)と呼ばれる炭素数10の直鎖イソプレノイドから合成された。
このGPPの合成の詳細を見ていけば、テルペン系の香りを強くする肥培管理が可能になるかもしれないので、GPPがどのように合成されていくかを見ていくことにする。
GPPの合成に関しては以前、イネから発見されたイソプレノイドのモミラクトンの記事で見た事があるが、GPPは

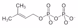
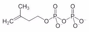
イソペンテニル二リン酸(IPP)と

ジメチルアリル二リン酸(DMAPP)が結合することで合成される。
であれば、IPPとDMAPPの合成経路を見れば、香気物質についての理解は更に深まるはずだ。
IPPの合成経路はメバロン酸経路と非メバロン酸経路がある。
今回はとりあえずメバロン酸経路から見ていくことにする。
メバロン酸経路は

アセチルCoAを出発物質として、

メバロン酸を経由し、メバロン酸にリン酸が付与される事で、

IPPになる。
メバロン酸経路は細胞質で行われる反応となる。
この経路で更に把握しておくべきこととして、アセチルCoAの合成について更なる理解が必要になるが、今回は一旦ここまでにしておこう。




