
土壌中でマンガンはどのように還元されるか?の続きまでの記事で、土壌中のマンガンがどのように還元されているのか?について見てきた。
他の還元方法もあるのだけれども、一旦それは置いといて、

キノコは消毒液がお好き?の記事で触れた土壌の微生物等が酸化剤や還元剤に成り得る過酸化水素の発生について見てみることにする。
カビと過酸化水素で調べてみたら、シュウ酸オキシダーゼという酵素名を見かけた。
シュウ酸オキシダーゼの反応は下記のようになるらしい。
シュウ酸 + O2 + 2H+ ⇌ 2CO2 + H2O2
この反応は酸性条件下でシュウ酸と酸素が反応して、二酸化炭素と過酸化水素(H2O2)が発生していると判断できる。
Wikipediaに記載されているシュウ酸オキシダーゼについての説明文を読んでみると、
/**************************/
この酵素の基質はシュウ酸と酸素とH+、生成物は二酸化炭素と過酸化水素である。補因子としてFADとマンガンを用いる
/**************************/
と記載されていた。
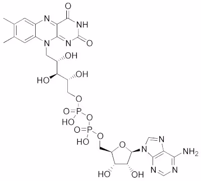
上記の説明で記載されているFADは

フラビンアデニンジヌクレオチド(flavin adenine dinucleotide)の略で、ビタミンB2(リボフラビン)から誘導される。
今回発生した過酸化水素が酸化型マンガンのMn(Ⅲ)やMn(Ⅳ)を還元するか?は気になるところだが、とりあえず今回はここまでにしておく。




